Foro de discusión, ayuda y aprendizaje de electricidad doméstica e industrial, documentación técnica, averías, cursos, normativa, software técnico, bajo consumo, reparación de electrodomésticos, instalaciones singulares de imagen y sonido..

Bienvenido a foroelectricidad.com.

Somos una comunidad de profesionales y aficionados al mundo de la electricidad.

Para participar, puedes registrarte en la comunidad y en pocos clicks podrás disfrutar de todas las características del foro. También te recomendamos que te pases por las Normas del foro, y si tienes alguna duda del funcionamiento del mismo puedes consultar el FAQ o ponerte en contacto con nosotros.

El Equipo de Foroelectricidad.com

 
center-101
Usuario novato
Usuario novato
Autor del tema
Mensajes: 8
Registrado: 04 Mar 2013, 05:43
Ubicación: Huelva

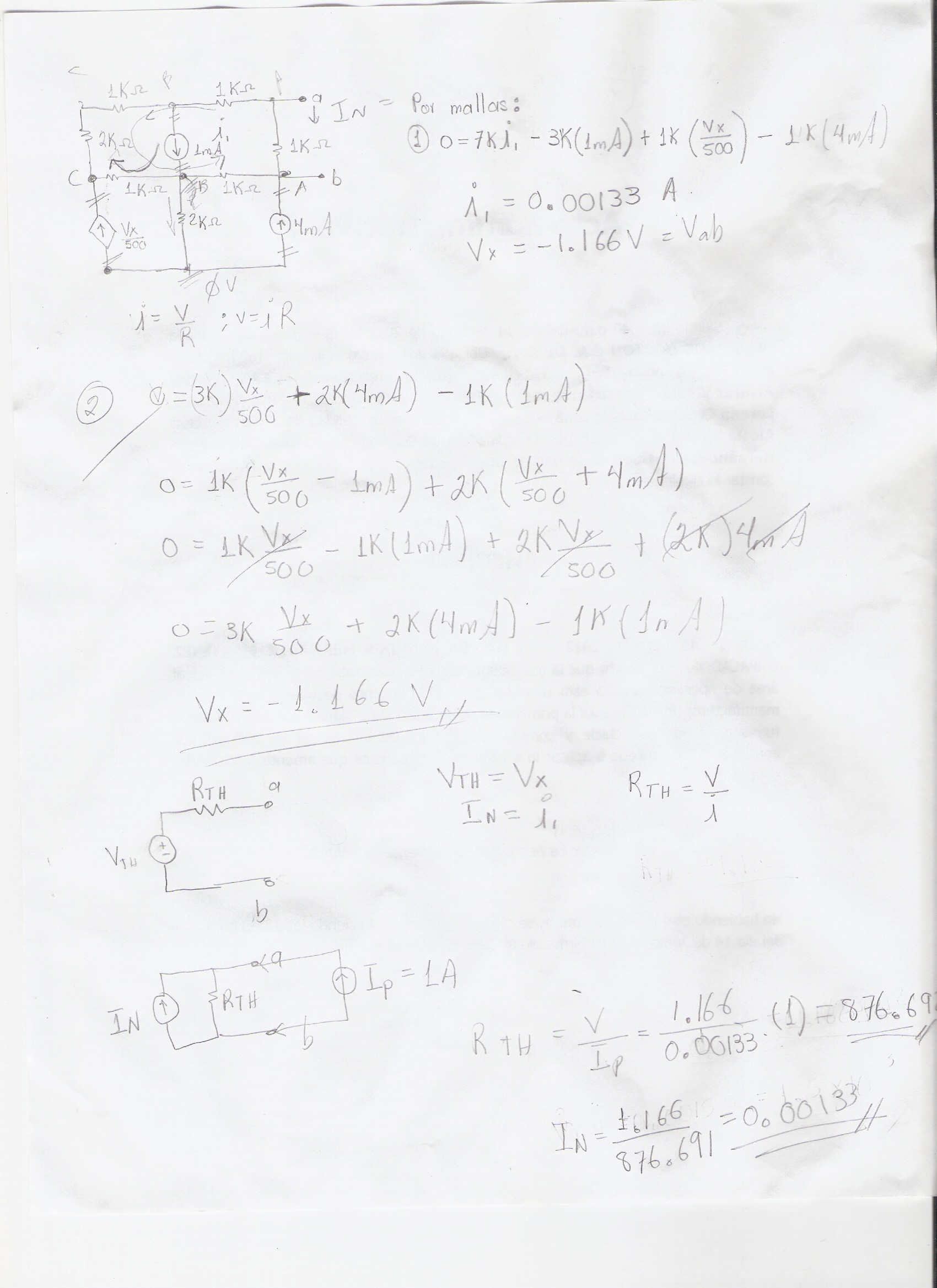
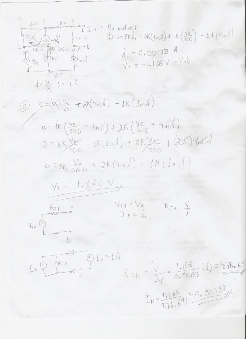
¿Me pueden revisar mi solucion a este circuito

15 Abr 2013, 06:22

Como obtengo los equivalentes de Thévenin y Norton para este circuito en las terminales a-b, este es el circuitio:

http://imageshack.us/photo/my-images/560/capturaxi.jpg/

Esta es mi solucion:
http://imageshack.us/photo/my-images/838/cop3.jpg/
Adjuntos
$RDIU4L9.jpg
Esta es mi sulocion
$R3K106R.JPG
Este es el circuito
$R3K106R.JPG (21.4 KiB) Visto 3858 veces